PHY 201/211 General Physics
Odd Sections. 9:30-10:20 lecture
Test II

Name: ___________________________________________________________

Signature:________________________________________________________

Section:__________________________________________________________
 

Answer all problems.

Do not start working until you are told to do so.

Following information may be useful:

formula sheets are also provided at the back of this test.

(Do not write below)
_______________________________________________________________________________________
 
Problem No.
Score
1
Ng
2
Nenkov
3
Bharucha
4
Zhang
Total



1. (25points)

Circle the right answers. Only one choice is correct. No penalty for wrong guess.

(note that there are several versions of the test. You may have different choices for different versions.)
 

I. In which of the following cases the net force acting on the object is not zero:

A. A mower is pushed across the lawn at constant velocity.

B. A sky diver falling with the parachute open, at a constant velocity.

C. A person in an upward accelerating elevator.

D. A car moving at 65 miles per hour on a straight high way.

E. A space ship moving with constant velocity in outer space.
 

II. In Earth's gravitational field and the blocks are not moving, how many forces are acting on the 2kg block?


 
 

A. 4

B. 5

C. 1

D. 2

E. 3
 

III. If the block is moving, what is the frictional force where s and k are coefficient of static and kinetic friction respectively?


 
 

A. 49.0 N

B. 5.0 N

C. 14.70 N

D. 12.25 N

E. None of above.
 

IV. A football is kicked at an angle of 20o above horizontal, which of the following statement is not correct?

A. The time required for the football to reach its highest point equals to the time for it to return from the highest point to the ground.

B. The football is instantaneously at rest when it is at the highest point.

C. The horizontal component of the initial velocity is larger than the vertical component.

D. The football will hit the ground with a speed equal to the initial speed.

E. The range will be the same if the football is kicked with the same initial speed, but at an angle of 70o above horizontal.
 

V. A person standing in an elevator, in which of the following situations will the normal force from the floor equal to the person's weight?

A. The elevator is ascending at a constant velocity.

B. The elevator is accelerating upward.

C. The elevator is accelerating downward.

D. The elevator is at rest but the person is holding a 30 kg box.

E. The normal force equals to the person's weight in all of above cases.


2. (25 points)

A person jumps from the roof of a house 3.0-m high. When he strikes the ground below, he bends his knees so that his torso decelerates over an approximate distance of 0.5m, If the mass of his torso (excluding legs) is 60kg, find (a) his velocity just before his feet strike the ground, and (b) the average force exerted on his torso by his legs during deceleration.




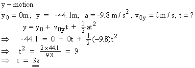
3. In escaping the chase of police cars, the driver of a car is trying to fly over from the top of a cliff to the other side at a level 44.1 m below the cliff edge. The two sides are separated by a distance of 120m (see figure). You can assume the tops of both sides are horizontally flat. The car successfully lands at the edge of the opposite side.

a. (10 points)

How long will the car stay in air without touching ground?

b. (5 points)

What is the speed of the car before it leaves the cliff?

c. (5 points)

Calculate the horizontal and vertical components of velocity when the car hits the opposite sides. Also calculate the angle at which the car hits the ground.



4. A 20N force is applied to a 5kg box at a direction 30o below horizontal as shown in the diagram. The box is sliding on the ground with an acceleration of 1 m/s2. There is frictional force between the box and the ground.


 
 

(a) (5 points)

Draw a free-body diagram showing all forces acting on the box.

(b) (10 points)

Calculate the normal force exerted vertically upward on the box by the ground.

(c) (10 points)

Calculate the horizontal frictional force on the box.


Formula sheet

I. Physical constants:

g = 9.8 m/s2 (on Earth's surface) G= 6.67 10-11 Nm2/kg2

II. Kinematics equations

  1. Dynamics equations
  1. Momentum
 
  1. Work and energy
  1. Circular motion

  2. Newton's Law of Gravitation
  1. Simple harmonic motion

    1. Rotational motion
  2. Waves