University of Kentucky

Department of Physics and Astronomy

PHY 308 Principles of Optics

Spring 1997

Test 1. February 10, 1997 (Monday)

Time allowed: 1:00 p.m. to 1:50 p.m.

Answer all four questions (25 points for each question).

Write down and show your work clearly.


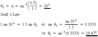
1. A marble made of glass (n=1.50) has a radius of 1cm. A light ray incident upon the marble has a distance of 0.5 cm from the diameter as shown in the figure.

a. (10 points)
Calculate the angle of incidence and hence the angle of refraction .



b. (5 points)
Calculate the angle between the emerging ray and the normal ( in the figure).




c. (10 points)
Calculate the total angle of deviation between the incident ray and the emerging ray.


2. A rod AB of length 7.5 cm is placed horizontally in front of a concave mirror of focal length 15cm. The end closer to the mirror (A) is at a distance of 37.5 cm from the mirror (see figure).

a. (12 points)
Calculate the length of the image of the rod.



b. (5 points)
Is the image real or virtual? Image of which end (A or B) is closer to the mirror?

Since both sA' and sB' are positive, the image has to be real. Image of point B is closer to the mirror than the image of point A.
c. (8 points)
A rectangular frame is placed at the same location of the rod, as shown in the diagram.

In the diagram roughly show the position and sketch the appearance of the image of the rectangular frame. Also indicate sides A, B, C, and D in the image. Give reasons.

Image of side B is closer to the mirror than the image side A (from calculation of part b) Image of side B is shorter than image of side A since sB > sA and sB'> sA', which implies |mB| < |mA|.

Image of side D is at top and image of side C is at bottom because mA and mB are negative, implying inverted vertical image.


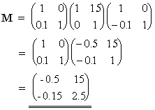
3. A thin converging lens of focal length 10cm is placed at a distance of 15cm from a thin diverging lens of focal length also 10cm as shown in the figure.

a. (12 points)
Calculate the transfer matrix M of the system, with the converging lens at the incident plane and the diverging lens at the output plane.

b. (13 points)

An object is placed at 20cm in front of the converging lens. Use matrix method, calculate the position of the final image. What is the magnification? Is it inverted or erect? Sketch the image in the given diagram to summarize your result. Is the image real or virtual?

4. (25 points)


4. To determine the refractive index of a transparent plate of glass, a microscope is first focused on a tiny scratch in the upper surface, and the barrel position is recorded. Upon further lowering the microscope barrel by 4.14 mm, a focused image of the scratch is seen again. The plate thickness is 3.00 mm. What is the reason for the second image, and what is the refractive index of the glass?