© Kwok-Wai Ng, 1998.

3. Doublet excited states Some organic molecules have a doublet () excited state at an energyabove a singlet (S=0) ground state. (a) Find an expression for the magnetic moment in a field B. (b) Show that the susceptibility for is approximately independent of . (c) Will this system be cooled by adiabatic magnetization, or demagnetization? Explain your answer.


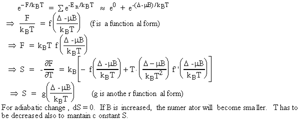
(c)

In the case of demagnetization cooling, the energy levels in the paramagnetic salt is further and further apart as the magnetic field is increased. The present situation is just opposite, as can be seen from the figure, the s=0 and the lowest of s=1/2 (i.e. sz=-1/2) get closer together as the magnetic field is increased. Hence we expect cooling resulted from magnetization for this system (i.e. cooling by adiabatic magnetization). We can make the argument as follow:

Assume B is large and T is low so that , then we need only to consider the lowest two levels.