© Kwok-Wai Ng, 1998.
4. Free electron gas (a) Show that the kinetic energy
of a free electron gas at absolute zero is where
is the Fermi energy. (b) Derive expressions
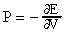
for the pressure
and the bulk modulus
. (c) Estimate the contribution of the
conduction electrons to B for potassium and compare your answer
to the experimentally measured bulk modulus
.
Potassium has a bcc structure of lattice parameter 5.225
.